15 ODSTO POPUSTA NA SKI-KARTE do 20. novembra
Zbog velikog interesovanja, Skijališta Srbije su produžila period pretprodaje ski-karata preko veb-šopa sa popustom od 15 odsto.
15.11.2025.
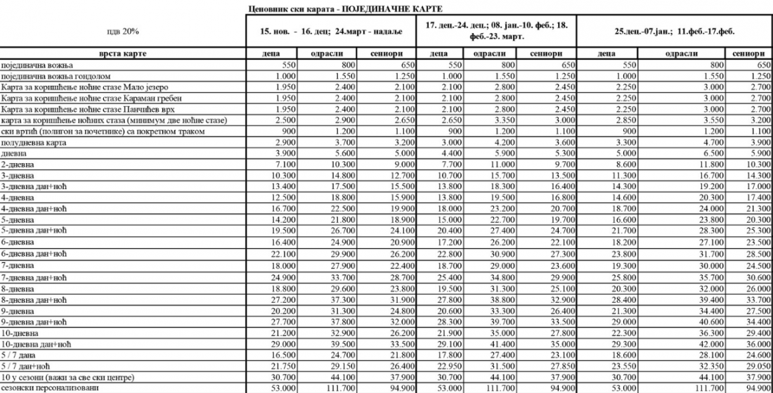
U susret novoj sezoni objavljen je cenovnik ski-karata, a cene su različite, u zavisnosti od perioda skijaške sezone i kategorije skijaša. Tako će, na primer, za odrasle cena šestodnevnog ski-pasa na Kopaoniku biti u rasponu od 24.900 do 27.100 dinara.
Cena jednodnevne ski-karte za najveći srpski ski-centar variraće između 5.600 do 6.500 dinara, a dvodnevne od 10.300 do 11.800 dinara.

Šestodnevni ski-pas za odrasle na Staroj planini i u Ski-centru Tornik na Zlatiboru koštaće od 13.500 do 14.400 dinara, dvodnevni od 5.850 do 6.450 dinara, a jednodnevni 3.450 do 3.750 dinara. Cena poludnevne ski-karte biće od 2.400 do 2.850 dinara, stim da će ovaj ski-pas moći da se koristi četiri sata, bez obzira kada se započne skijanje.

Pretprodaja ski-karata za nadolazeću skijašku sezonu 2025/26. počela je 1. novembra i trajaće tokom celog zimskog perioda. Ljubitelji skijanja i zimskih sportova mogu da kupe ski-karte sa popustom od 15% preko veb šopa u periodu od 1. do 15. novembra 2025. godine, uz popust od 10% od 1. decembra do 8. decembra 2025. godine i u visini od 5% od 9. decembra pa do kraja zimske sezone. Sve karte kupljene preko veb šopa mogu se otkazati u roku od 14 dana.
Zbog velikog interesovanja, Skijališta Srbije su produžila period pretprodaje ski-karata preko veb-šopa sa popustom od 15 odsto.
15.11.2025.U beogradskom naselju Dedinje otvoren je gastronomski kutak sa potpuno novim konceptom – restoranskom hranom u formatu fast food-a.
15.11.2025.U Palati nauke otvorena je gostujuća izložba „Više od igre“, koja na jedinstven način prikazuje kako su video igre od zabave u igraonicama postale jedan od najvažnijih kulturnih i društvenih fenomena današnjice.
14.11.2025.Zaronite u svet paranormalnih priča i iskustava ljudi koji su se suočili sa nečim što nadilazi granice našeg razumevanja. Priče o ukletim mestima, nadnaravnim bićima, čudesnim predmetima i gatanju će vas ostaviti bez daha. Sve ono što vas je uvek zanimalo a niste imali koga, kako i kada da pitate.
14.11.2025.Dvadeseti „Noćni bazar“ uz podršku Grada Zrenjanina, Turističke organizacije, Kulturnog centra i JKP „Pijace i parkinzi“, biće održan u petak, 14. novembra, na prostoru „Male pijace“ u Jug Bogdanovoj ulici od 17 do 23 časa.
14.11.2025.